0 - Yorum Yap
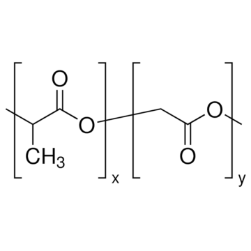
Sigma-Aldrich 719900 Resomer® RG 504 H, Poly(D,L-lactide-co-glycolide) acid terminated, lactide:glycolide 50:50, Mw 38,000-54,000 1 gr
|
Sigma-Aldrich 719900 Resomer® RG 504 H, Poly(D,L-lactide-co-glycolide) acid terminated, lactide:glycolide 50:50, Mw 38,000-54,000 |
|
Synonym(s): PLGA
Linear Formula: [C3H4O2]x[C2H2O2]y
CAS Number: 26780-50-7
NACRES: NA.23
SDS İçin Resmi Tıklayınız... |
|
PROPERTIES
Quality Level 200
form amorphous
feed ratio lactide:glycolide 50:50
mol wt Mw 38,000-54,000
degradation timeframe <3 months
viscosity 0.45-0.60 dL/g, 0.1 % (w/v) in chloroform(25 °C, Ubbelohde) (size 0c glass capillary viscometer)
transition temp Tg 46-50 °C
storage temp. 2-8 °C
InChI 1S/C6H8O4.C4H4O4/c1-3-5(7)10-4(2)6(8)9-3;5-3-1-7-4(6)2-8-3/h3-4H,1-2H3;1-2H2
InChI key LCSKNASZPVZHEG-UHFFFAOYSA-N |
Bu ürüne ilk yorumu siz yapın!
